Uprava za indirektno oporezivanje Bosne i Hercegovine (UIO BiH) obavijestila je javnost o novim maloprodajnim cijenama cigareta koje su prijavila tri distributera na domaćem tržištu.
Prema dostavljenim informacijama, poskupljenja će stupati na snagu u različitim terminima. Kompanija TDR nove cijene primjenjivat će od 13. februara, dok će proizvodi kompanije Philip Morris biti skuplji od 19. februara. Distributer Nelt najavio je primjenu novih cijena od 9. marta.
Iz UIO BiH podsjećaju da su proizvođači i distributeri dužni prijaviti svaku promjenu maloprodajnih cijena, te da se nove cijene primjenjuju od datuma koji je naveden u prijavi. Razlozi korekcije cijena nisu detaljno obrazloženi, ali se u pravilu odnose na usklađivanje sa poreznim opterećenjima, trošarinama i tržišnim kretanjima.
Nove maloprodajne cijene odnose se na više brendova koji su dostupni na tržištu Bosne i Hercegovine, a potrošači će ih moći vidjeti na prodajnim mjestima od navedenih datuma.
Podsjećamo da su akcize na duhanske proizvode značajan izvor prihoda budžeta, te da se njihovo kretanje direktno odražava na formiranje konačne cijene proizvoda.
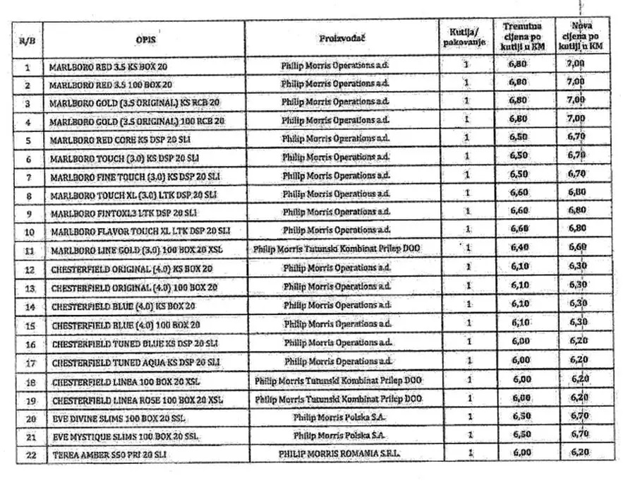
Ovo su nove cijene cigareta:




